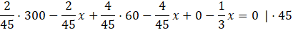
W tym zadaniu trzeba wyliczyć, ile ma wynosić cena za losowanie dwóch kart z 10 wśród których są dwa króle i dwa asy, aby ta gra była sprawiedliwa. W przypadku wylosowania dwóch króli lub asów otrzymujesz 300 zł, w przypadku wylosowania króla i asa dostajesz 60 zł, zaś wylosowanie króla lub asa oraz innej karty daje zwrot ceny udziału w losowaniu. Inne sytuacje nie są w żaden sposób nagradzane.
A – wylosowano dwa asy lub dwa króle (zielony)
B – wylosowano króla i asa (niebieski)
C – wylosowano króla lub asa i inną kartę (pomarańczowy)
D – Pozostałe sytuacje (czyli nie wylosowano żadnego króla lub asa) (fioletowy)
x – cena za udział w losowaniu
O grze mówimy, że jest sprawiedliwa wtedy, gdy jej wartość oczekiwana wynosi 0. Więc zadanie będzie polegać na przyrównaniu wartości oczekiwanej do 0, podstawieniu za cenę jednego losowania x oraz rozwiązanie równania. Jednak, aby uzyskać równanie z x musisz obliczyć prawdopodobieństwa wszystkich zdarzeń. Zauważ, że masz do czynienia z doświadczeniem wieloetapowym, więc najlepszym rozwiązaniem będzie narysowanie drzewka. Każdy poziom odpowiada kolejnemu losowaniu. Z każdego losowania możesz wylosować albo króla, albo asa, albo inną kartę. Aby obliczyć prawdopodobieństwo wylosowania danej karty skorzystaj z klasycznej definicji prawdopodobieństwa, czyli podziel ilość danych kart przez ilość wszystkich kart. Pamiętaj, że po losowaniu wyciągasz kartę z zestawu, i w tym zestawie jest o jedną kartę mniej. Gdy już narysujesz drzewko zaznacza wszystkie cztery zdarzenia losowe na nim. Aby obliczyć je przemnóż liczby na wszystkich gałęziach zaznaczonych „po drodze” do tego zdarzenia i dodaj wyniki z innych gałęzi, jeśli takie są. Gdy już będziesz miał wszystkie podstaw znane wartości do wzoru na wartość oczekiwaną. Pamiętaj, że wygraną musisz pomniejszyć o koszt udziału w losowaniu, jeśli dostajesz zwrot kosztu to twoja wygrana to 0, zaś brak wygranej oznacza stratę kosztu losowania. Następnie musisz przyrównać to wyrażenie do 0 i obliczyć x. Aby pozbyć się ułamków przemnóż obie strony przez wspólny mianownik, czyli 45.
Ćwiczenie A.
43Przykład 1.
43Zadanie 1.
46Zadanie 2.
46Zadanie 4.
46Zadanie 5.
47Zadanie 6.
47Zadanie 7.
47Zadanie 12.
48Zadanie 16.
49Zadanie 18.
49Zadanie 20.
50Zadanie 1.
53Zadanie 2.
53Zadanie 3.
53Zadanie 6.
54Zadanie 7.
54Zadanie 10.
54Ćwiczenie A.
57Zadanie 1.
61Zadanie 2.
61Zadanie 4.
61Zadanie 5.
61Zadanie 7.
62Zadanie 8.
62Zadanie 10.
62Zadanie 11.
62Zadanie 12.
62Zadanie 15.
63Zadanie 17.
63Zadanie 18.
63Zadanie 1.
67Zadanie 2.
67Zadanie 3.
68Zadanie 5.
68Zadanie 12.
69Ćwiczenie A.
70Przykład 2.
73Zadanie 3.
74Zadanie 4.
74Zadanie 5.
75Zadanie 6.
75Zadanie 7.
75Zadanie 8.
75Zadanie 9.
75Zadanie 10.
75Zadanie 11.
76Zadanie 12.
76Zadanie 13.
76Zadanie 15.
77Zadanie 16.
77Zadanie 22.
77Zadanie 23.
78Zadanie 24.
78Zadanie 25.
78Zadanie 1.
81Zadanie 2.
81Zadanie 3.
81Zadanie 4.
81Zadanie 5.
82Zadanie 6.
82Zadanie 7.
82Zadanie 8.
82Zadanie 9.
82Zadanie 10.
83Zadanie 11.
83Zadanie 12.
83Zadanie 1.
84Zadanie 3.
84Zadanie 6.
84Zadanie 7.
84Zadanie 8.
84Zadanie 10.
84