W tym zadaniu musisz określić jak dużo kul było pierwotnie w urnie z kulami białymi i czerwonymi, jeśli na początku szansa na wylosowanie białej kuli wynosiła
x – pierwotna ilość kul
y – pierwotna ilość kul białych
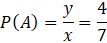
ΩA – wylosowanie jakiejkolwiek kuli przed usunięciem kul
NA = x
A – wylosowanie kuli białej przed usunięciem kul
nA = y
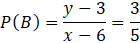
B – wylosowanie kuli białej po usunięciu kul
nB = y – 3
ΩB – wylosowanie jakiejkolwiek kuli po usunięciu kul
NB = x – 6
B’ – wylosowanie kuli czerwonej po usunięciu kul
Odp.: Pierwotnie kul było 21.
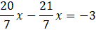
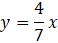
Zauważ, że w treści zadania podane są dwa prawdopodobieństwa. Warto z nich skorzystać. Zapisz te prawdopodobieństwa z klasycznej definicji prawdopodobieństwa. Jest to ilość elementów zdarzenia losowego podzielona przez ilość elementów zbioru zdarzeń elementarnych. Będziesz tu rozważał sytuacje przed usunięciem kul i po. Dobrze by było, aby w obu przypadkach zdarzenie losowe byłoby to samo, tylko „w wersji” przed i po. Warto zauważyć, że wyciągnięcie kuli czerwonej jest zdarzeniem przeciwnym do wyciągnięcia kuli białej, dlatego aby obliczyć prawdopodobieństwo wyciągnięcia białej kuli po usunięciu kul, wystarczy od 1 odjąć prawdopodobieństwo wyciągnięcia czerwonej kuli po usunięciu kul. Oznacz ilość białych kul, które były pierwotnie przez y. Oczywiście po usunięciu trzech kul białych było ich y-3. Następnie musisz wyznaczyć ilości elementów zbioru zdarzeń elementarnych dla każdej sytuacji. Jest to po prostu ilość wszystkich kul, z tym, że podobnie jak wcześniej, zmienia się ich ilość. Oznacz sobie ilość kul, które były pierwotnie przez x (zauważ, że jest to jedyna informacja, która jest wymagana z treści zadania). Po usunięciu kul w urnie były x-6 kul (pamiętaj, że usuwasz po trzy kule każdego koloru). Teraz musisz dla każdego przypadku podzielić oba wyrażenia przez siebie i przyrównać je do podanych prawdopodobieństw. Ponieważ po obu stronach równania są ułamki, warto przemnożyć je „na krzyż”. Otrzymujesz proste równanie z dwiema niewiadomymi, z którego warto wyznaczyć y (gdyż to y lepiej podstawić do drugiego równania, aby od razu otrzymać x). W drugim równaniu postępujesz podobnie, z tym, że w ułamku są dłuższe wyrażenia. Po przemnożeniu „na krzyż” podstawiasz otrzymanego z pierwszego równania y, otrzymujesz proste równanie liniowe po którego rozwiązaniu otrzymasz wynik.
Ćwiczenie A.
43Przykład 1.
43Zadanie 1.
46Zadanie 2.
46Zadanie 4.
46Zadanie 5.
47Zadanie 6.
47Zadanie 7.
47Zadanie 12.
48Zadanie 16.
49Zadanie 18.
49Zadanie 20.
50Zadanie 1.
53Zadanie 2.
53Zadanie 3.
53Zadanie 6.
54Zadanie 7.
54Zadanie 10.
54Ćwiczenie A.
57Zadanie 1.
61Zadanie 2.
61Zadanie 4.
61Zadanie 5.
61Zadanie 7.
62Zadanie 8.
62Zadanie 10.
62Zadanie 11.
62Zadanie 12.
62Zadanie 15.
63Zadanie 17.
63Zadanie 18.
63Zadanie 1.
67Zadanie 2.
67Zadanie 3.
68Zadanie 5.
68Zadanie 12.
69Ćwiczenie A.
70Przykład 2.
73Zadanie 3.
74Zadanie 4.
74Zadanie 5.
75Zadanie 6.
75Zadanie 7.
75Zadanie 8.
75Zadanie 9.
75Zadanie 10.
75Zadanie 11.
76Zadanie 12.
76Zadanie 13.
76Zadanie 15.
77Zadanie 16.
77Zadanie 22.
77Zadanie 23.
78Zadanie 24.
78Zadanie 25.
78Zadanie 1.
81Zadanie 2.
81Zadanie 3.
81Zadanie 4.
81Zadanie 5.
82Zadanie 6.
82Zadanie 7.
82Zadanie 8.
82Zadanie 9.
82Zadanie 10.
83Zadanie 11.
83Zadanie 12.
83Zadanie 1.
84Zadanie 3.
84Zadanie 6.
84Zadanie 7.
84Zadanie 8.
84Zadanie 10.
84